产品属性
退换货说明 : 检测类技术服务商品,发货后无特殊情况不支持退换货 |
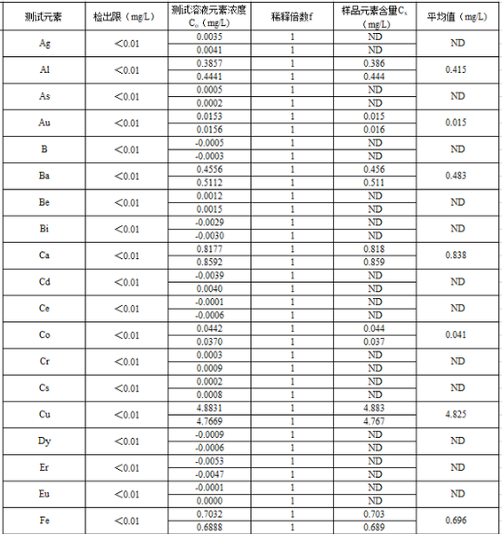
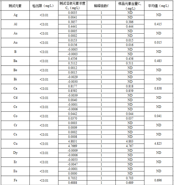
ICP-OES是一种以高频电感耦合等离子体为激发光源的原子发射光谱法;
试样中气态原子(或离子)被激发后,其外层电子由激发态返回到基态时,原子将释放出多余的能量而发射出特征谱线;
根据特征谱线的存在与否以及强度,进行定性和定量分析。
ICP-OES主要用于定量分析样品中的金属元素以及非金属元素B和S等;
在地质、环境保护、化学工业、生物、医药、食品、冶金、农业等领域得到广泛应用。
好评度 | 商品满意度 | 服务满意度 | 发货满意度 |
"ICP-OES(5199)测试服务"商品可能已被商家删除,您可查看其他相似商品!
相似产品推荐