服务电话(移):17319309550
DeepBio得分:5567.2
DeepBio得分
是基于文献引用次数,影响因子,文献新近度等因素计算的客观产品评级,得分越高表明该产品经过越可靠的实验验证,质量可信度越高
≥98% (HPLC)
24894752
NA.32
Fusarium sp. (Fusarium moniliforme)
methanol: 9.80-10.20 mg/mL, clear, colorless to light yellow
来自霉菌镰刀菌的伏马菌素B1已被用于: •对从成年猪盲肠内容物中的真菌毒素进行分析的标准品 •研究伏马菌素B1对朊病毒蛋白(PrP)异构体的代谢和羊瘙痒病朊病毒蛋白PrPSc合成的影响,以及 •研究伏马毒素B1对猪空肠外植体的毒性作用。
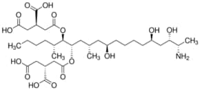
伏马菌素B1是一种霉菌毒素,存在于许多镰刀菌真菌,例如串珠镰刀菌、层出镰孢菌和拟轮生镰刀菌。 这种毒素也存在于被镰刀菌感染的原料和食品,例如玉米。 伏马菌素B1(FB1)与鞘氨醇结构相似。 因此,伏马菌素B1可以抑制神经酰胺合成酶(鞘氨醇N-乙酰基转移酶),其可导致神经酰胺生物合成和复杂鞘脂生物合成的中断。
真菌代谢物据信可引起马脑白质软化症。
| 好评度 | 商品满意度 | 服务满意度 | 发货满意度 |
"F1147-1MG,Fumonisin B₁ 来源于串珠镰刀菌"商品可能已被商家删除,您可查看其他相似商品!
相似产品推荐
