服务电话(移):17319309550
DeepBio得分:5567.2
DeepBio得分
是基于文献引用次数,影响因子,文献新近度等因素计算的客观产品评级,得分越高表明该产品经过越可靠的实验验证,质量可信度越高
powder, electrophoresis grade
24897786
NA.52
electrophoresis: suitable
H2O: 10 mg/mL (A stock solution at 10mg/ml in water is stable for 1-2 weeks in the dark at 0-4°C.);2-methoxyethanol: 20 mg/mL;ethanol: 5 mg/mL
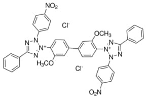
硝基四氮唑蓝氯化物已用于: •测定骨骼肌细胞中的超氧阴离子 •在脑切片的烟酰胺腺嘌呤二核苷酸磷酸(NADPH)-黄递酶组织化学中,作为Tris-HCl缓冲盐水的组成成分 •作为发色底物,用于研究芥菜苗中过氧化氢(H2O2)和超氧化物(O₂-)阴离子的组织化学检测 •作为Triton X-100溶液中的组分进行冠状脑切片染色
氯化硝基四氮唑蓝 (NBT) 是一种用于与 5-溴-4-氯-3-吲哚磷酸酯 (BCIP) 联合检测碱性磷酸酶的染料。
硝基四氮唑蓝氯化物(NBT)还用作血液样本中细菌感染的比色指示剂。NBT还用作其他酶促反应的氧化还原指示剂。NBT与O₂反应时会生成深蓝色不溶的甲瓒化合物。
| 好评度 | 商品满意度 | 服务满意度 | 发货满意度 |
"N6639-250MG,氯化四唑氮蓝"商品可能已被商家删除,您可查看其他相似商品!
相似产品推荐
