DeepBio得分:5567.2
DeepBio得分
是基于文献引用次数,影响因子,文献新近度等因素计算的客观产品评级,得分越高表明该产品经过越可靠的实验验证,质量可信度越高
产品属性
|
退换货说明 : 检测类技术服务商品,发货后无特殊情况不支持退换货 |
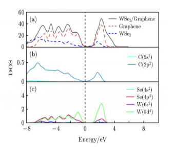
态密度表示单位能量范围内(E~E+ΔE)的电子数目,从态密度(DOS)图中可以得到很多信息,例如成键信息、价带宽度、导带宽度、每个轨道对于总的态密度的贡献等。原则上讲,态密度可以作为能带结构的一个可视化结果。
应用领域:化学,物理,材料等
态密度又可分为局域态密度(LDOS)和分波态密度(PDOS),其中局域态密度是指各个原子的电子态对总的态密度图的贡献;分波态密度是指根据角动量(s、p、d、f)进一步分辨这些贡献,确定态密度的主要峰具体来自 s、p、d 或 f 等电子态的贡献。
| 好评度 | 商品满意度 | 服务满意度 | 发货满意度 |
"第一性原理-态密度计算"商品可能已被商家删除,您可查看其他相似商品!
相似产品推荐
