DeepBio得分:5567.2
DeepBio得分
是基于文献引用次数,影响因子,文献新近度等因素计算的客观产品评级,得分越高表明该产品经过越可靠的实验验证,质量可信度越高
产品属性
|
退换货说明 : 检测类技术服务商品,发货后不支持退换货 |
项目介绍
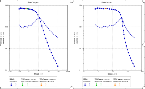
旋转流变仪是研究测量材料流变学特性的仪器之一,采用对样品施加强制稳态速率载荷、稳态应力载荷、动态正弦周期应变载荷或动态正弦周期应力载荷的方式,观测样品对所施加载荷的响应数据;通过测量剪切速率、剪切应力、振荡频率、应力应变振幅等流变数据,计算样品的黏度、储能模量、损耗模量、Tanδ等流变学参数,可以研究从低黏度流体到高强度固体样品的流动和变形特性,是材料领域应用最广泛的流变测量仪器。
项目案例
样品要求
1.常温下为流体的样品,至少5mL;粘度低的样品可以多送些,5-50ml左右。
2.常温下为半固体的样品,直径25mm,厚度1mm;
3.高温流变请注明测试温度。PS:以上收费标准默认只测一个温度点,如需测多个温度点,费用面议。
| 好评度 | 商品满意度 | 服务满意度 | 发货满意度 |
"高级旋转流变仪测试"商品可能已被商家删除,您可查看其他相似商品!
相似产品推荐
